Tutorato Analisi 2
a. a. 2021/22 - 2 semestre
Alberto Domenico Bosani albertodomenico.bosani@polimi.it Codice: 10895357
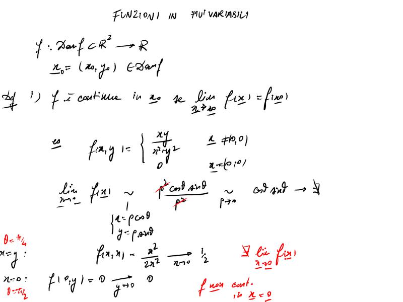
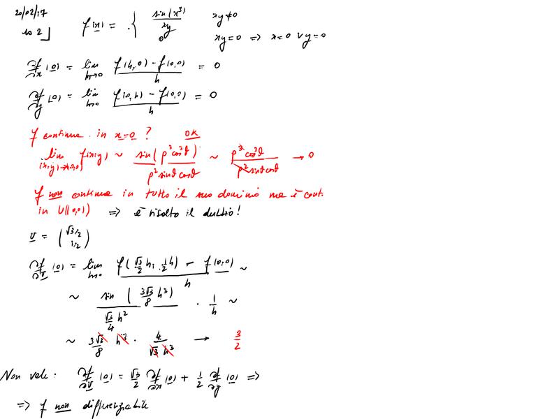
15/03/22 Funzioni in più variabili
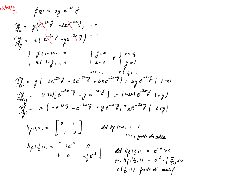
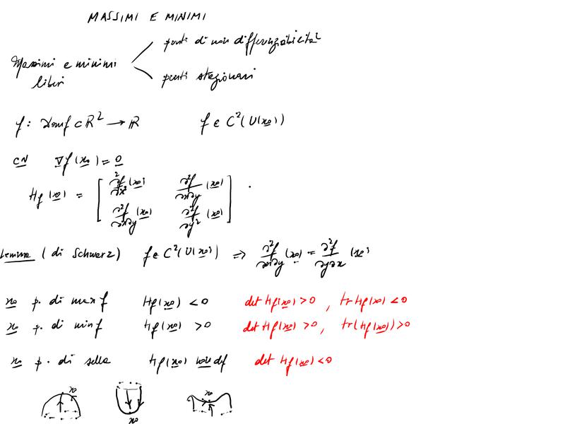
22/03/22 Massimi e minimi
29/03/22 Equazioni differenziali
05/04/22 Esercizi vari
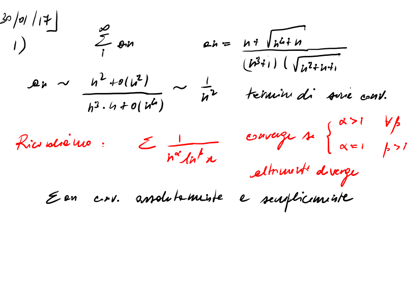
12/04/22 Serie
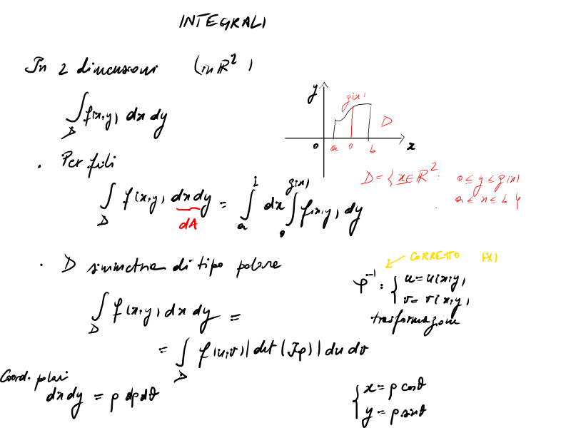
26/04/22 Integrali doppi e tripli
10/05/22 Curve e superfici differenziabili
17/05/22 Campi vettoriali
24/05/22 Esercizi vari
31/05/22 Esercizi vari